3月23日,我校陈建宾教授团队在国际顶级化学期刊《Angew. Chem. Int. Ed.》上发表了题为“Tunable Electrochemical C-N versus N-N Bond Formation of Nitrogen-Centered Radicals Enabled by Dehydrogenative Dearomatization: Biological Applications”(https://doi.org/10.1002/anie.202001510)的文章,同时被遴选为VIP文章,应当指出,一般<5%的稿件获此殊荣。研究生吕士德与韩孝新为该文章共同第一作者,陈建宾教授为唯一通讯作者,半岛电竞app为唯一单位。期刊2019年影响因子IF=12.257。

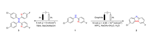
陈建宾教授团队利用“推拉效应”和“离域作用”,实现了环境友好条件下电化学产生氮中心自由基(NCR)。通过改变电极材料进而控制电流密度,高选择性的实现脱氢C-N键与N-N键的偶联反应。基于此,高效合成了一系列吡啶[1,2-a]苯并咪唑和四芳基肼骨架衍生物,具有广泛的通用性。初步的机理研究和密度泛函理论(DFT)计算揭示了可能的反应途径。

生物活性测定表明,吡啶并[1,2-a]苯并咪唑类化合物具有抗微生物活性和对人类癌细胞的细胞毒性。化合物21表现出良好的光化学性质,具有较大的斯托克斯位移(约130 nm),已成功应用于亚细胞成像。该电化学策略的成功实现将显著刺激NCRs在有机合成和相关生物医学领域的发展。
该项研究成果被《Angew. Chem. Int. Ed.》发表,表明陈建宾教授团队在该领域的研究已达到国际先进水平,为学校和学院赢得了国际声誉,进一步巩固了化学学科ESI世界排名前1%的地位。


陈建宾教授,2015年11月以“优等生”提前1年获得德国莱布尼茨催化研究所驻罗斯托克大学(LIKAT)博士学位,2016年3月赴美国加州大学伯克利分校开展博士后研究,2017年4月加入半岛电竞app开展独立科研工作,组建光/电催化研究创新团队。入职三年来,主持国家自然科学基金、省自然科学基金和厅局级项目5项;作为通讯作者发表SCI文章9篇。目前主要从事光/电催化、生物质转化、金属有机化学、药物合成和功能材料等方面的研究工作。
